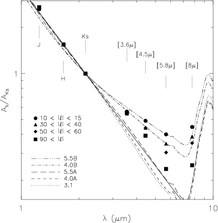
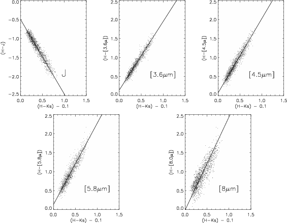
Galactic Infrared Extinction Law


Last updated on 8/18/2010
By David Nidever